LEGRAND HEIGHTS
PROJECT DETAILS
Subdivision Name : LEGRAND HEIGHTS
Developer : CASTILLE RESOURCES REALTY DEVELOPMENT INC.
Total Project Area : 2.9 hectares
Number of Lots : 115 lots
Average Lot Size : Lot Only 173 square meters
House & Lot 66 square meters
Location : Barangay Tawason, Mandaue City
FEATURES & AMENITIES
Landscaped Entrance
Multi-Purpose Hall
Children s Playground
Jogging Trails
Complete facilities for drainage, water supply, power suppl, telephone, CATV
Landscaped pocket gardens
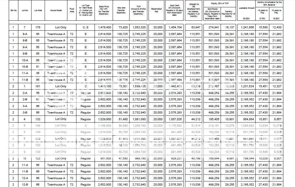
SAMPLE COMPUTATION
Total Selling Price: 2,745,225
Reservation: 20,000.00
Equity (20%): 549,045.00
net Equity: 529,045.00
Monthly Equity for 18 Mos: 29,391.39/month
BANK FINANCING
Loanable: (80%) 2,196,180.00
Bank Terms
5 yrs at 7.5% p.a.: 44,006.94month
10 yrs at 9.5% p.a.: 28,418.03month
15 yrs at 10.5% p.a.: 24,276.55month
To request for a site viewing please contact us at:
+63-922-5811593
+63-935-1358554
+63-908-1999101
Landline:+6332-2366260
Mobile Landline: +6332-5142439
Viber: +63-922-5811593
email: rimmon.sendiong@gmail.com
website: Home
Facebook: www.facebook.com/sweethomecebu/









Reply With Quote
